Smart Observatory
Recent advances in Artificial Intelligence are profoundly influencing scientific discovery. AI not only enhances research outcomes through sophisticated data-analysis techniques, but also supports scientists in formulating new hypotheses, designing experiments, acquiring large datasets, and interpreting results—often revealing insights that would be difficult to obtain using traditional scientific approaches alone.
Marine observing systems, particularly underwater observatories, provide an exemplary case of data-rich environments where AI-based methods for data acquisition and analysis are rapidly gaining traction within the marine science and technology community. In this framework, the Smart Observatory developed within RAISE is an intelligent platform equipped with sensors for monitoring biological, physical, and chemical variables throughout the water column. Thanks to its AI-enabled capabilities, the observatory dynamically adapts its monitoring strategy according to a user-defined application scenario and to the on-board interpretation of the acquired data.
Based on the (near) real-time analysis of incoming measurements, this dynamic adaptation includes activating or deactivating specific sensors and adjusting their configurations in order to obtain more accurate and context-relevant observations. Beyond adaptive monitoring, on-board data interpretation enables the observatory to autonomously identify and transmit key information to a land station and to report significant events—such as early warnings—detected during the observation period.
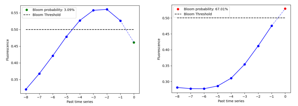
The sensor package of the intelligent observatory has been specifically designed to provide high-resolution monitoring of phytoplankton blooms. The measured environmental parameters include chlorophyll-a, dissolved oxygen, pCO₂, turbidity, and salinity. Automated bloom detection is achieved by forecasting chlorophyll-a dynamics as a function of the other parameters and predicting rapid increases beyond a predefined, location-specific threshold.




Product 1.1